CHRONIC KIDNEY DISEASE


POPULATION BURDEN

37 million adults estimated to be living with CKD

3.5 % of them have high to very high risk disease with likely progression to End Stage Kidney Disease (ESKD)

0.5% of all adults in the country have stage 4/5 CKD, defined as kidney function/Glomerular Filtration Rate (GFR) < 30 ml/min

~ 800,000 patients with ESKD on dialysis


COST BURDEN

Total Medicare spending for all with CKD was $85.4B and for expenditure of ESKD beneficiaries was $50 billion per year in 2020

Per Person Per Year (PPPY) cost for hemodialysis: ~ $ 100,000, peritoneal dialysis: ~ $80,000

WHY KIDNEY TRANSPLANT?


BETTER SURVIVAL

At 1 year, those on dialysis have a 15-20% mortality, with a 5-year survival rate of under 50%. With a transplant, it is about 80% after 5 years.

Each additional year of dialysis associated with a 6% increase in the risk of death.

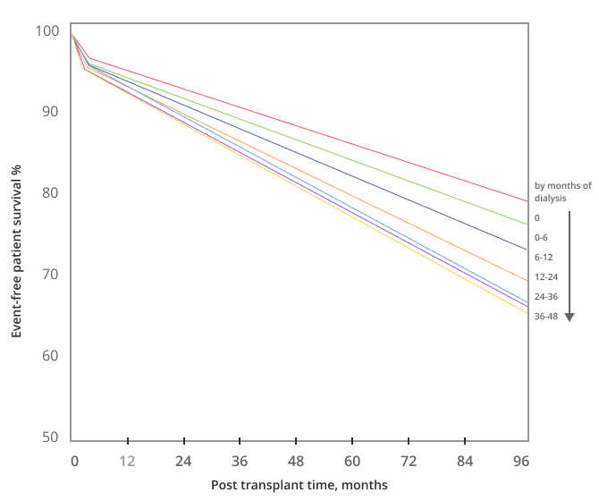
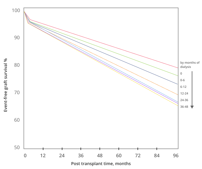
The shorter the dialysis time, the better the survival.


PREEMPTIVE KIDNEY TRANSPLANTATION

What is it?

It is kidney transplantation performed prior to needing dialysis

Why preemptive kidney transplant?

Significantly better survival with both living and deceased donor preemptive kidney transplants.

Deceased donor KT patient and graft survival-preemptive vs not

(Kasiske BL et al. Preemptive kidney transplantation: the advantage and the advantaged. J Am Soc Nephrol. 2002 May;13(5):1358-64)


What is the cost benefit?

Significant cost savings compared to dialysis

Initial costs of transplantation in the first year-$100-150k

In the year following kidney transplantation, Medicare Parts B and D expenditures averaged $23,308 PPPY in 2016-2019

Initial high costs are (not were) fully recouped by Medicare 2 years and 10 months after transplant

PREEMPTIVE WAITLISTING

Adults with a GFR of < 20 ml/min are eligible to wait-list

Preemptive wait listing allows for

  • Accrual of time on wait-list.
  • Minimization of time on dialysis
  • Early living donor education
  • In the absence of a living donor, they are still likely to get transplanted in a younger, healthier state with as little dialysis time as possible

CURRENT STATE OF PREEMPTIVE LISTINGS/TRANSPLANTS

~100,000 patients are on the kidney transplant wait list

Only about 5% of them are listed preemptively

BARRIERS

Dependency on patient self referral

Lack of early and consistent education re: transplant process and living donor transplantation

Lack of timely referrals to nephrologists/transplant centers

Complex transplant evaluation process